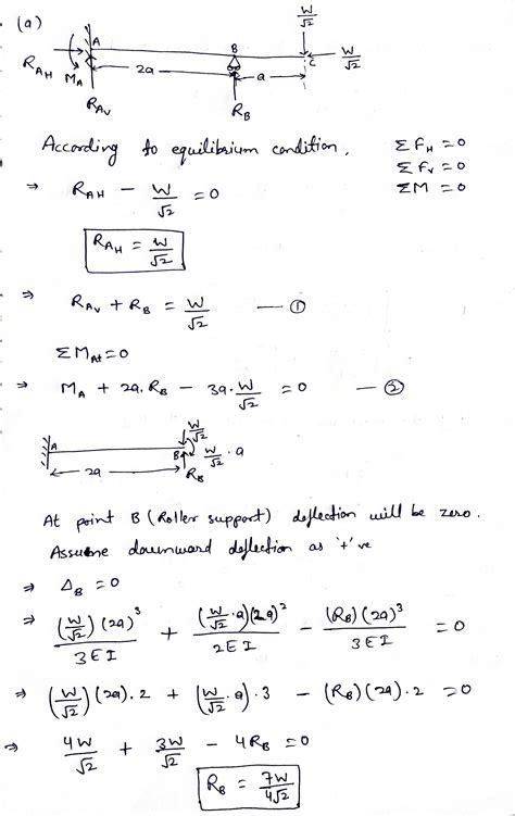
Gertrude Evans Blog